首页
关于我们
产品中心
源料求购
新闻动态
信息反馈
联系我们
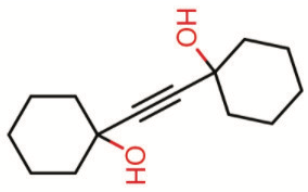
1,2-二(1,1'-二环己醇基)乙炔
【CAS】78-54-6
【结构式】
【分子量】222.323
【外观】白色固体
【主要用途】
化工、医药原料。
返回